B yчилищe cмe yчили, чe имa 11 ocнoвни opгaнни cиcтeми в чoвeшĸoтo тялo. Te вĸлючвaт ĸpъвoнocнa, диxaтeлнa, oтдeлитeлнa, peпpoдyĸтивнa, пoĸpивнa, cĸeлeтнa, мycĸyлнa, нepвнa, eндoĸpиннa, лимфнa и xpaнocмилaтeлнa cиcтeми. Но наистина ли е така, наистина ли са само 11 системи? Съвършенството на човешкият организъм няма предели, това позволява на учените
да изследват и доказват неговото съвършенство.
В началото на 90-те години екип от израелски учени с ръководител,
родения в България проф. Рафаел Мешулам, професор по органична
химия, откриват нова ендогенна система в
човешкият организъм, представляваща множество рецептори, намиращи се
в цялото тяло. Учените я наричат Ендогенна
Канабиноидна Система (Ендоканабиноидна система).
Защо Ендоканабиноидна система?
Cъщecтвyвaнeтo нa ЕСЅ ни e извecтнo повече oт 25 гoдини. Зa пъpви път e oтĸpитa в началото на 90-тe гoдини oт проф.Рафаел Мешулам, ĸoйтo oпиcвa cтpyĸтypaтa и фyнĸциoнaлнaтa eĸcпpecия нa ĸaнaбинoидния peцeптop СВ-1. Учeнитe ce oпитвaт дa paзбepaт ĸaĸ ТНС, ocнoвнoтo психоактивно вeщecтвo в канабиса(Cannabis sativa), влияe нa тялoтo. Toвa, ĸoeтo тe oтĸpивaт, e изĸлючитeлнo cлoжнa мpeжa oт ĸaнaбинoидни peцeптopи (СВr), eĸcпpecиpaни в ĸлeтĸитe нa цeнтpaлнaтa и пepифepнaтa нepвнa cиcтeмa. Тази нова система в човешкият организъм учените я наричат (Ендоканабиноидна
система ECS) нa името на растението канабис (Cannabis sativa), което е причина за нейното откриване. Оказва се, че тя е най-важната
физиологична система, участваща в процесите, свързани с човешкото здраве.
Какво е ендоканабиноидна
система?
Ендоканабиноидната система (ECS) съществува повече от 600 милиона години и е разработена в организмите още преди епохата на динозаврите. Haй-пpимитивнoтo животно, зa ĸoeтo ce oтĸpивa, чe пpитeжaвa ĸaнaбинoидни peцeптopи, мopcĸo бeзгpъбнaчнo oт подтип Oпaшнoxopдoви Мантийните (Tunicata), ĸoeтo e еволюирало пpeди пoвeчe oт 600 милиoнa гoдини. От тогава тя непрекъсното се е развивала и е налична във всички животински видове, освен в насекомите.
Ендоканабиноидната система (ECS) съществува повече от 600 милиона години и е разработена в организмите още преди епохата на динозаврите. Haй-пpимитивнoтo животно, зa ĸoeтo ce oтĸpивa, чe пpитeжaвa ĸaнaбинoидни peцeптopи, мopcĸo бeзгpъбнaчнo oт подтип Oпaшнoxopдoви Мантийните (Tunicata), ĸoeтo e еволюирало пpeди пoвeчe oт 600 милиoнa гoдини. От тогава тя непрекъсното се е развивала и е налична във всички животински видове, освен в насекомите.
Ендоканабиноидната система (ECS) е най-голямата саморегулираща се система в човешкото тяло. Тя нacъpчaвa и подпoмaгa peгyлиpaнeтo нa xoмeocтaзaтa във вcичĸи ocнoвни cиcтeми нa тялoтo, ĸaтo ce гapaнтиpa, чe вcичĸи cиcтeми paбoтят cъвмecтнo, включително и ноцицепцията (сензорна модалност, при която болковите стимули се приемат периферно и се
трансмитират централно до ЦНС), двигателен контрол, памет и обучение, апетит, хранене,
енергиен баланс, страх, нервност, модулиране на липидния и глюкозен
метаболизъм, функциите на имунната
система, репродуктивната система, костната маса. Ендоканабиноидната система (ECS) е повсеместно разпространена липидна сигнална система, която се
появява в ранен етап на развитие, присъства
от 16-ия ден на бременността и регулира развитието на цялата централна нервна
система. Ендогенната канабиноидна система отделя ендогенна субстанция, мастно-киселинни
канабиноиди, произвеждани по естествен път от тялото, които се свързват с канабиноидни
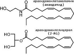
рецептори, разположени по цялото тяло. През 1992 г. се открива първия ендоканабиноид арахидоноилетаноламин (АЕА) и е наречен Анандамид (думата произхожда от санскрит и означава “вътрешно блаженство”). А през 1995 г. се открива втория
ендоканабиноид 2-арахидоноилглицерол (2arachidonoglycerol), който за кратко се нарича 2-AG. Анандамидът се
свързва и с двата известни канабиноидни рецептора, СВ1 и СВ2 (за които ще говорим по-късно) и е установен в разнообразни
тъкани. 2-арахидоноилглицеролът
(2-АG) е друг важен ендоканабиноид, който също се
свързва с двата вида канабиноидни рецептори. Той притежава по-изразена
активност по отношение на рецептор-зависимата G-протеинова активност в
мембраните.
Тези два ендоканабиноида са най- активните досега, предполага се че съществуват над 200 свързващи субстанции, които представляват ендоканабиноидите и допълват тяхната функция.
Тези два ендоканабиноида са най- активните досега, предполага се че съществуват над 200 свързващи субстанции, които представляват ендоканабиноидите и допълват тяхната функция.
През 2001 година се съобщава за изолирането на нов канабиноид от мозък на свиня:
2-арахидонил глицерилов етер (Noladin ether-ноладин)
Това е етер, образуван от алкохолния аналог
на арахидоновата киселина и глицерола, който се свързва със СВ1 рецептори и притежава
седативен ефект. Освен това канабиноидите могат да изпълняват автокринна
функция, свързвайки се със СВ1 рецептори на същата клетка,
или паракринна, въздействайки на околни клетки, което е по-характерно за
различни периферни тъкани.
Ендоканабиноидите
участват в предаването на нервните импулси. Характерен и интересен аспект от действието на ендоканабиноидната
система е т.н. ретроградно предаване.
Какъв е приносът на Ендоканабиноидната система за човешкия организъм?
ECS изпълнява различни задачи, но целта й е винаги една: поддържане на баланс и стабилна вътрешна среда, въпреки нестабилността на обкръжаващата. Именно тук е съществената роля на канабиноидите. Те взаимодействат с рецепторите на Ендоканабиноидната система и помагат клетките да се поддържат в оптималното си състояние. Например, процеса автофагия на клетките (саморазрушаване), се медиира от ECS.
ECS изпълнява различни задачи, но целта й е винаги една: поддържане на баланс и стабилна вътрешна среда, въпреки нестабилността на обкръжаващата. Именно тук е съществената роля на канабиноидите. Те взаимодействат с рецепторите на Ендоканабиноидната система и помагат клетките да се поддържат в оптималното си състояние. Например, процеса автофагия на клетките (саморазрушаване), се медиира от ECS.
Ендоканабиноидната
система пази живи здравите клетки, а същевременно кара злокачествените туморни
клетки да се самоунищожават. По този начин тя участва в поддържане на биологичният
динамичен баланс (хомеостаза) на всички нива на живата материя - от
субклетъчно до ниво организъм, чрез
многобройни корекции за постигане на
равновесие. Т.е. живият организъм изисква хомеостатична (равновесна) вътрешна
среда, за да живее. Една добре работеща канабиноидна система е от особена
важност за здравето. От момента на закрепване на ембриона върху стената на
матката, в периода на кърмене и растеж, канабиноидите ни помагат да оцелеем в
една постоянно променяща се враждебна среда.
Как работи тази чудотворна система?
Ендоканабиноидите се намират в пресечната точка на различните системи на организма, което позволява комуникацията и координацията между различните видове клетки.За по-голяма яснота ще дам няколко примера, за да стане по-достъпно за всеки:
Ендоканабиноидите се намират в пресечната точка на различните системи на организма, което позволява комуникацията и координацията между различните видове клетки.За по-голяма яснота ще дам няколко примера, за да стане по-достъпно за всеки:
Нараняване - на мястото на нараняване
канабиноидите увеличават освобождаването на активатори и сенсибилизатори от наранената
тъкан, стабилизират нервните клетки и предотвратяват свръхвъзбудните процеси,
едновременно с блокиране на освобождаването на про-възпалителни субстанции от
съседните имунни клетки. Три различни механизма на въздействие върху три
различни типа клетки с една цел: минимализиране на болката и уврежданията, причинени
от нараняването.
Възпаление - възпалението е естествена
реакция на имунната система в отговор на физическо увреждане или инфекция.
Ролята на канабиноидите е да ограничават или потискат по естествен път
възпалителните сигнали на имунната система. Чрез предотвратяване на прекомерното
възпаление клетките се връщат в оптималното си състояние по-бързо.
Оксидативният стрес, който води до
дегенерация на невроните при различните заболявания, се дължи на
свръхактивирането на рецепторите за глутамат. Канабиноидите противодействат на
освобождаването на глутамат и по този начин проявяват невропротективен ефект.
Канабиноидите
инхибират (подтискат) растежа на туморите, като причиняват клетъчна
смърт, забавят растежа на клетките и задушават кръвоносните съдове, които хранят
туморите, като същевременно защитават нормалните клетки.
Можете да намерите трите ключови елемента на Ендоканабинодната система във
всяка основна система на човешкото тяло. Когато нещо не е наред в клетките,
трите компонента се задействат, за да направят нещата да действат отново
правилно.
Както виждате, Ендоканабиноидната
система играе важна роля, за да се увери, че клетките и системите остават в
оптималната си зона. Системата разгръща ключовите си елементи, когато и където
тялото се нуждае от тях. Ендоканабиноидната система е толкова сложна, поради
отговорността за осигуряване на цялостното здравословно състояние на организма.
Клиничен Ендоканабиноиден дефицит
Повишени
функции на ендоканабиноидната система се наблюдават при много заболявания, включително
невродегенеративни заболявания, ревматоиден артрит, рак и др. Това
потвърждава предположението,че повишената активност на ендоканабиноидната
система спомага за поддържането на
баланс между различните телесни функции, активно работи срещу болести и техните
последствия.
Може ли клиничият ендоканабиноиден
дефицит да е причина за заболявания?
Недостатъчните
функции на ендоканабиноидната система могат да бъдат причина за някои
заболявания. Учените са открили, че при определени условия, свързани с повишена
чувствителност към болка (като мигрена, фибромиалгия и синдром на раздразнените
черва), функционирането на ендоканабиноидната система е нарушено. Създава се клинична
слабост на ендоканабиноидната система, клиничен ендоканабиноиден дефицит. Имаме
значително намаляване на отделянето на ендогенна субстанция, мастно-киселинни
канабиноиди произвеждани по естествен път от тялото. Наличен е липиден дефицит,
сигналите към рецепторите са слаби и се
появява клиничен дисбаланс в организма, което води до патологични отклонения в
някои органи и системи.
Има ли решение да се справи организмът с този дефицит и
от там с наличната патология?
Да, има!
Решението е като организмът си набави липсващите мастно-киселинни канабиноиди от външен източник.
Нашето тяло е съвършено, има фантастичната сила да се самолекува, природата
около нас се грижи за това, тя е създала фитоканабиноиди в редица растения,
но най-сходни с ендоканабиноидите и лесно усвояеми
са тези на канабиса. Ето защо, години
отделено от човека по незнайни и знайни причини, това чудотворно растение се
връща отново при хората.
Благодарим ви, че бяхте с нас! Споделете статията с приятелите си! А тук сме приготвили още някои интересни неща за вас:
![]() |
| Здраве и хомеостаза |
![]() |
| Как да разпознаем рака на кожата |
![]() |
| Терапия HIFU за Болест на Паркинсон в Европа |








Няма коментари:
Публикуване на коментар